专利号:2018106446014
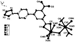
本发明涉及一种基于镉基金属有机框架材料的制备方法以及在离子识别中的应用。该方法以硝酸镉、5-(3-(4-四唑基)苯基)间苯二甲酸(H3L)、DMA以及水在溶剂热合成条件下制得无色透明条状晶体,分子式为[Cd2(μ3-OH)(L)(H2O)2]n。该化合物属于单斜晶系,空间群为P21/c,具有很高的水稳定性,并且通过其荧光淬灭程度能在多种常见不同阳离子的水溶液中选择性识别出Cu2+离子,其检出限可达到6.63×10-7M,能够作为荧光探针材料应用于水体中金属离子的分析检测领域,并且可重复利用,具有广阔的应用前景。
